走进汉振
INTO HANCHINE
汉振分享 | 无序抓取机器人外部转动轴的标定
日期:2020年03月12日

在无序抓取项目中,通常会采用对工业机器人加装外部轴的方式来增加机器人的灵活度,更好地适应工件的摆放姿态,从而提高工件的抓取成功率。然而加工精度以及装配过程中带来的误差会导致转动轴理论值和实际值产生偏差。采用绝对精度测量仪能够标定外部轴的绝对精度,但是成本较高,并且实际项目中无法提供测量条件。因此在工业场景,通常采用多次利用机器人TCP坐标来人为标定外部转动轴。


外部转动轴通常和一般的机器人关节类似,相当于在机器人六个关节的基础上,加入第七个关节。标定第七轴需要得到三个参数,旋转点坐标,旋转轴方向和旋转半径。利用这三个参数,可以求出第七轴的DH参数,能够配合机器人在第七轴以固定角度抓取的情况下,求出逆解。


首先要做的是将外部转动轴转动固定角度,运用机器人自带的TCP工具来标定外部转动轴在不同转动角度下工具坐标值。在标定机器人TCP值的时候,选取点的位姿个数一般大于6个,选取点的位姿之间差异尽量大一点,这样有助于提高机器人TCP标定的精度。

 获取的工具坐标值将直接影响后续的标定精度。尤其是在外部轴较长的情况下,精度影响较大,需要配合转动轴的理论尺寸来验证TCP的准确性。

这次标定中,样本采取了5个值,第七轴的相对转动角度为0°,30°,-30°,60°,-60°。


转动轴标定的方法采用的是拟合空间圆的方法。求出旋转轴的旋转位置及旋转向量。

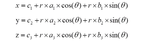
空间圆的参数方程能够表示为:


其中a1,a2,a3b1,b2,b3分别表示了0°和90°时的空间圆上的单位向量。r表示空间圆的半径,c1,c2,c3表示了空间圆的圆心。

采样值假设为:


采样时的角度为θi

根据最小二乘公式:


将测出来的实际值Pi代入上述的公式并求偏导就可以求出圆心坐标C和法向量N。


但是这样的条件是不够的,需要一定的样本数量。而工业机器人标定TCP过程较繁琐,采样时间长。实际操作中,人为标定一次TCP可能要花上十分钟的时间。在样本较少的情况下,需要对得到的结果进行反馈优化迭代,修正误差。

机器人的TCP误差,按ABB-IRB1600型号机器人来说,大约为0.5mm,最终5个角度的理论误差如下图,标定的转动轴误差最大在0.6mm,基本达到了一个TCP的误差。


目前认为电机的转动误差是可以忽略的,即电机的转动增量是个确定值。转动轴的零位取决于末端姿态与法兰盘的姿态。本次测试中,期望的末端姿态与法兰盘姿态一致,但是实际上存在一定的角度偏差,而这个角度的偏差值可以通过上文提到的a,b两个向量,再根据实际零位时标定的TCP,与求出旋转圆心得到的零位向量求得。

在无序抓取项目中,需要计算抓取点到法兰盘的位姿,所以外部转动轴的零位标定精度需要尽可能地提高,实际工程中需要多次调试。


配合视觉识别,设定不同的抓取角度和第七轴的转动角度,设定抓取点为待测试工件的中心,保持工件不动。第七轴末端的标准撞针能指向设定的抓取点,误差小于1mm。


更多机器视觉分享,欢迎继续关注“汉振智能”....